Inside Medicine. What Are You Seeing? [COVID-19 medical news]

The study:

Other news on the subject that may not be pay/subscription walled like bloomberg.com:
Moderna vaccine could create twice as many COVID antibodies as Pfizer vaccine, study says - nj.com
https://thehill.com/changing-america/well-being/prevention-cures/570135-surprising-new-study-finds-moderna-creates-more

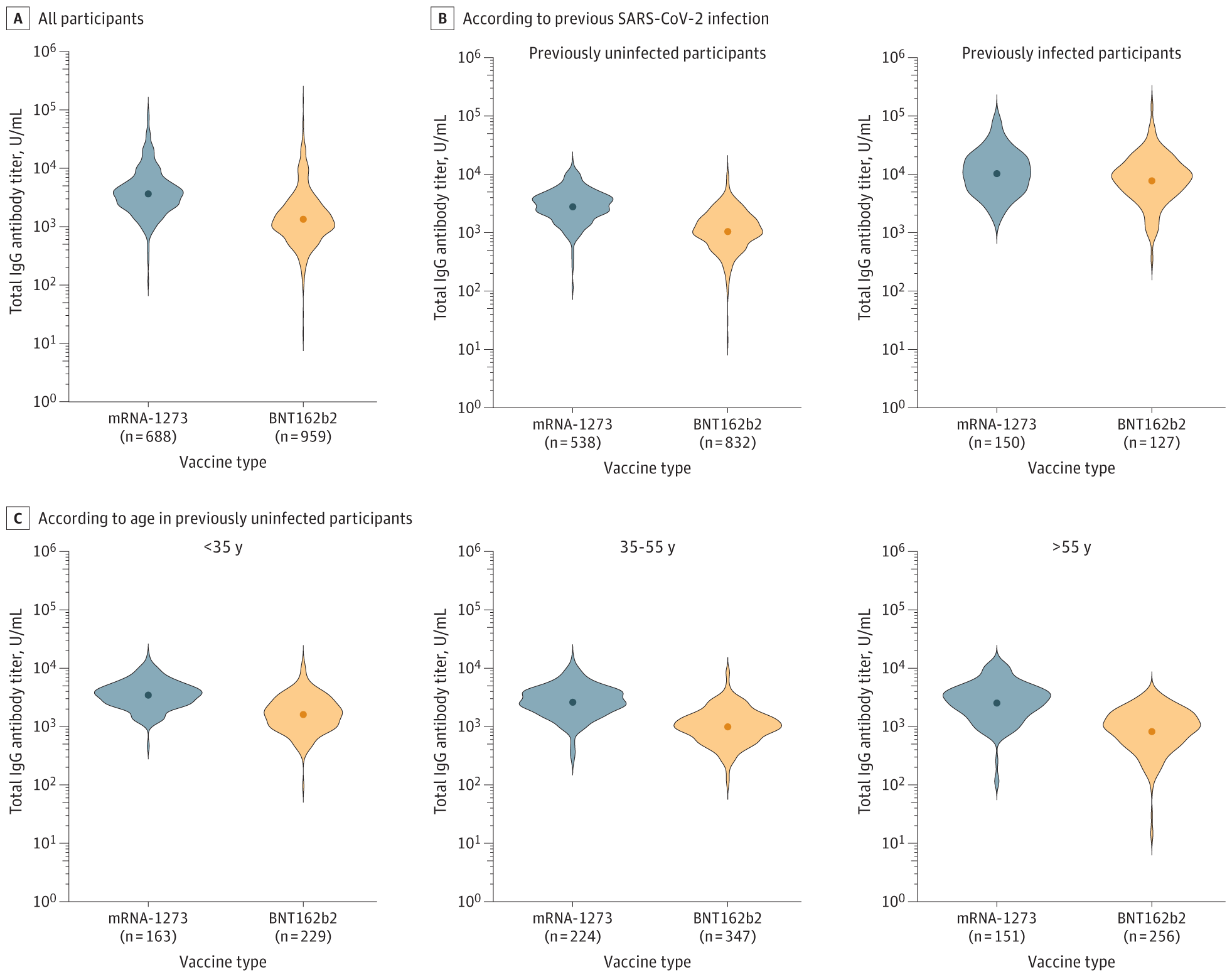
May not be too surprising, since the Moderna vaccine contains about three times as much mRNA as the Pfizer vaccine.

The antibody titers found in the study:

Vaccine All Previously Uninfected Previously Infected
Moderna 3836 2881 10708
Pfizer 1444 1108 8174
3 Likes

Wow the differential in antibody levels between previously infected and uninfected is remarkable but not surprising. Hope they release data about antibody levels in the uninfected after the 3rd shot.

1 Like

I agree, and I also wish they would start sharing data of breakthrough cases in vaccinated peeps by those previously infected, or not.

3 Likes

So maybe Pfizer needs boosters more than Moderna for now-?

Moderna also had more side effects, which to me showed more effectiveness, but some of us wanted to avoid that at the time.

1 Like

But then many people who wanted to get vaccinated as soon as possible did not have a choice – it was get whatever was available. More than half of vaccinated people in the US got Pfizer, most of the rest got Moderna, and relatively few got J&J.

Note that with full FDA approval, Pfizer can use a brand name for its vaccine in the US – Comirnaty. But probably most people in the US won’t use or even know that brand name, which is probably even less well known than BNT162b2 that research papers refer it as.

1 Like

Not only it isn’t surprising, but it isn’t even necessarily better to get the Moderna vaccine. Personally, I’d rather, if necessary, get an extra dose of Pfizer, which would produce much more antibodies than two standard doses of Moderna. And I’d still be getting far less mRNA in three doses of Pfizer than in two doses of Moderna.

Yes, what is the latest with Delta-specific boosters? I would rather get one of those than another of the original version of vaccine. I hope they are testing one.

1 Like

They can produce variant-specific vaccines in 95 days but I don’t think the okay has been given for a Delta one. I don’t know for sure but haven’t seen anything about it.

2 Likes

Recent news is that Pfizer claims that a third dose boosts antibodies by about 3.3 times. So Pfizer * 3 > Moderna * 2. But what about Moderna * 3? Also, J&J claims for antibody levels after a second dose at 6 months suggest that J&J * 2 > Moderna * 2 and J&J * 2 levels may be similar to Pfizer * 3 levels, although J&J * 1 levels are lower than Pfizer * 2 levels.

Then there is also the possibility that someone gets boosted by a different vaccine from the original one received.

Of course, infection + vaccination produces very high antibody levels, but it is obviously less risky to have vaccination first in this combination, although most studies of antibody levels in this case seem to be for infection first cases.

The other question is, what antibody levels are ā€œenoughā€?

4 Likes

I wonder if they are waiting for a variant that is even better at evading the vaccines than Delta.

Seeing an article like this makes me wonder if all the ā€œvaccinatedā€ cases in hospitals are really vaccinated. I’m glad these folks got caught, but how many more are out there, esp with medical database connections?

https://www.nytimes.com/2021/08/31/nyregion/fake-vaccine-cards-woman-charged.html

Beginning in May, prosecutors said, Ms. Clifford, who described herself online as an entrepreneur and the operator of multiple businesses, began advertising forged vaccination cards through her Instagram account.

A New Jersey woman who used the Instagram handle @AntiVaxMomma was charged in Manhattan on Tuesday with a conspiracy to sell hundreds of fake coronavirus vaccination cards over the social media platform.

The woman, Jasmine Clifford, 31, was charged in Manhattan criminal court with having sold about 250 forged cards over Instagram. She worked with another woman, Nadayza Barkley, 27, who is employed at a medical clinic in Patchogue, N.Y., to fraudulently enter at least 10 people into New York’s immunization database, prosecutors said. Ms. Barkley was also charged in the conspiracy.

Fifteen people were charged in the scheme in all, including 13 people who purchased the cards — some of whom worked in hospitals and nursing homes — and were each charged with a felony.

Ms. Clifford was expected to be charged with two felonies and a misdemeanor, and Ms. Barkley was expected to be charged with a felony and a misdemeanor.

She charged $200 for the falsified cards, prosecutors said. For $250 more, Ms. Barkley would enter a customer’s name into New York’s official immunization database, enabling him or her to obtain the state’s Excelsior Pass, a digital certificate of vaccination.

Then there are nuances by age group (and most likely also preexisting conditions). I wish I could remember more. But I do remember that after one shot J and J. was 42 % effective for those over 60 (?). At that time I read that Pfizer was the best for the elderly. I just turned 70 so I went with that.

@Buckythedog I might go for a booster and then have the variant specific booster at an appropriate time. My doc okays it for me now but I am still waiting.

There already is – the Beta variant is less affected by vaccine-induced antibodies than the Delta variant. However, the Beta variant is nowhere near as contagious, and apparently does not produce the higher viral loads that the Delta variant produces.

2 Likes

Wow …

Challenge trials were done last year with an earlier variant of the virus:
https://www.nature.com/articles/d41586-020-02821-4

https://www.cnn.com/2021/08/30/health/new-coronavirus-variant-maybe/index.html

I’m having deja vu: isn’t this what the CDC said about Delta?

Yes, I saw that too.

This is Delta, more of a concern for younger individuals. To test vaccine efficacy? Aren’t there really already enough people getting Delta naturally that could be studied?

Seems a little extreme. I wonder who they prey on to get volunteers? Must be some desperate people.

Our Children’s reported its first Covid death. :frowning:

Is anyone tracking breakthrough cases by which vaccine the person received? I know most places aren’t tracking breakthrough at all, but is anyone tracking breakthrough cases in hospitals by vaccine given?

It’s interesting the discussion about which vaccine produces better antibodies vs previous infection. In our family H and I - Moderna, never had COVID (yet!); DS1 - had COVID then J&J vaccine; DS2 - never had COVID, Pfizer vaccine; DS3 - had COVID then Pfizer vaccine. I guess we’re all over the place with antibodies.