I wear seatbelts because when I was in sixth grade I knew a family whose kids rearended a truck. One died instantly. One was in a coma for years. (Don’t know if he ever woke up.) And the third lost all his teeth. No seatbelts.
If you wish NOT to be vaccinated, then you should NOT be allowed to fly, attend sporting events, dine in restaurants, etc. The unvaxxed should be made to suffer the consequences of their poor decision, not us, the vaccinated.
The obvious answer is $$$. As in the airlines are not equipped to checked vax records and solve for real and fake. And since fake ones can easily be bought on the web for <$100… More importantly, where is “the science” that shows that airlines are spreader events?
I get wanting to make life more uncomfortable for the unvaxed, but let’s see the science first.
Um - I believe you asked me to post that rabies story? Hopefully others who post Covid human interest stories are similarly doing so to provide context and not to substitute news for data.
Since neither of us disagrees on what to do in a possible rabies exposure situation, I think we can put this issue to bed. Anyone following can figure out that I’m more worried about rabies than you are, and that you are more worried about Covid than I am. That doesn’t mean much, in the scheme of things, if both of us take sensible precautions for both.
What goes through people’s minds when they do something like this? You have parents sending their symptomatic kids to school and now a symptomatic and unvaccinated teacher going to school and deliberately removing her mask while reading aloud.
She infected half her class along with parents and siblings of the kids.
The teacher reported becoming symptomatic on May 19, but continued to work for 2 days before receiving a test on May 21. On occasion during this time, the teacher read aloud unmasked to the class despite school requirements to mask while indoors.
And they’re still having case surges even with higher vax rates.
No surprise here (from the article):
after a period of slower increases in Scotland the rise here is particularly sharp at the moment," she said.
"That is possibly, at least in part, a reflection of the fact that our schools return earlier, with the increased interactions that come with that.
…
When the previous record total of new cases - 5,021 - was reported on Wednesday, Deputy First Minister John Swinney said the rise was partly being fuelled by the return of schools.
Scottish schools returned from the summer holidays in mid-August, several weeks earlier than in the rest of the UK.
The Scottish Secondary Teachers Association is calling for all secondary school pupils to be vaccinated.
I expect to see the same in the US with schools restarting, esp if no or few precautions are taken.
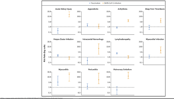
Regarding https://www.cdc.gov/mmwr/volumes/70/wr/mm7035e2.htm
(emphasis added)
Interestingly, Marin County has a high COVID-19 vaccination rate, in contrast to its reputation of having lots of anti-vaxxers regarding other vaccines (e.g. MMR). But this teacher was one of two unvaccinated staff members in the entire school. The students in question were age-ineligible for vaccination.
Timeline:
May 13-16 (Thursday to Sunday): probable infection at a social event
May 17 (Monday): teaching
May 18 (Tuesday): teaching
May 19 (Wednesday): teaching, symptoms start
May 20 (Thursday): teaching
May 21 (Friday): teaching, COVID-19 test
May 22 (Saturday): some students become symptomatic
May 23 (Sunday): COVID-19 test positive result
Note that even if the teacher immediately isolated on May 19, they probably were contagious in class for a few days before. Note that the first student became symptomatic on May 22, so it is entirely possible that transmission occurred before May 19.
Also, that CDC page contains a diagram of the classroom.
The page also mentions that there was an indoor mask rule, although the teacher reportedly unmasked to read aloud some of the time. However, the masks, open windows, open door, and air filter proved to be insufficient to prevent the spread.
I am not a lawyer, so I don’t understand, but why can’t someone be charged with assault? The medical studies support that if you are unvaccinated, you pose a threat to others, especially to the vulnerable. Ditto for being unmasked.
Vaccination wouldn’t have been a condition of employment at the time, and there’s probably no evidence that the teacher was attempting to harm the students. Perhaps the teacher used poor judgement (not clear - see below) but the CDC report is just stating the facts so it’s hard to glean the how or why. Best not to jump to conclusions.
The incidents of unmasking were during periods of time in which the teacher had to read allowed to these elementary students. One obvious reason for unmasking would be to assist the students in being able to understand what was being read. Masking has been extremely hard on those who rely on lip reading in part for their comprehension (I have a parent who is very hard of hearing and it’s been a struggle). Where did the teacher stand or sit during this time? Was there an attempt to social distance? My D’22’s school had the same issues with students requiring a visual on the teacher’s mouth, and some instructors actually received permission to use a face shield on occasions rather than masks last year when working with special ed kids. The problem with masks is that they do compromise special ed skill acquisition (speech and non-verbal communication being two areas where masks are going to hide a portion of the face and make it hard for the student to get those cues). For regular ed, just simple things like instructions may require that an elementary child see the mouth as well as hear the words. All one needs would be a couple of kids with processing or hearing issues. The teacher may well be left making some difficult decisions: stand farther back w/no mask or get up closer with mask? Both have risks. The purpose of these elementary children being in school in the first place is to get an education. Safety is a big factor but there are simply no guarantees in a pandemic.
Didn’t read the entire CDC report so don’t really know the details, but it’s quite possible, given that this is Delta we are talking about, that the teacher’s presence in the classroom itself infected the kids, mask or no mask, and the virus spread pre-symptomatically. That’s what happens with a very infectious virus.
Yes thanks. I understand. My son was in Spanish last year and it was very hard with the teacher being masked. I mean in general, though. If someone is unvaccinated and spreads the disease and subsequently hurts someone, that could be seen as assault. Weren’t people prosecuted for spreading HIV that way?
I went to our local Whole Foods today. I live in a highly vaxxed area. Even just a couple weeks ago, there were only a handful of people in the store wearing masks (I was one of them). Today, there were only a handful of people not wearing masks.
It totally depends on circumstances. If you weaponize a virus in order to harm someone, whether it be HIV or SARS CoV-2 or something else, then you should and likely will be be charged at least with assault. A woman from last year got in legal trouble for coughing on a cancer survivor, and she got a bit of bit of jail time thrown in with the rest of her sentence. I’m not even clear if she had Covid, but she clearly did this in order to intimidate and possibly harm.
I’m not up on HIV-crime but I guess in some states you could be charged now for not disclosing your HIV status. How soon after HIV was identified as the source of AIDS were these laws put in place? Three months? three years? Three decades? And what sort of threat will SARS CoV-2 pose over the next few or 10 years? I think these are questions worth exploring at the appropriate time; right now our health and political leaders are busy just trying to keep up with the new research and necessary communications. It’s a bit early in the life of this novel virus to begin prosecuting people for having and even spreading it, short of evidence pointing to intentional infection (or attempt thereof). And then I’m not sure you would even need a special law in order to charge someone with assault or worse.
Finally, unless I’m off base there’s no law that compels people to take a certain treatment or else they go to jail if any resulting disease can be traced to them. Think of all the college kids who’d end up in the slammer because they didn’t get vaxed for HPV!
I noticed many more masked when we went grocery shopping last week. Maybe a third of the store (vs. less than a tenth prior). More and more retail establishments are requesting (not requiring) that customers mask up and requiring that their employees (continue to) do so. My D’22 works at the burger joint and they have brought back masks even for vaccinated employees (for the unvaxed they were always required). What surprised me was not seeing re-masking now but rather noticing the number of young employees there (16+) who were able to stop masking earlier this summer due to having been fully vaxed. Management made copies of the vax cards so you had to submit proof. Many of these kids and young adults are from higher-risk populations. It’s good to know so many are vaxed! I’m guessing their parents or other family members were leading by example.
Wouldn’t there be the question of intent to spread a disease, versus spreading it by negligence or ignorance, when determining whether the act falls under the definition of assault?




